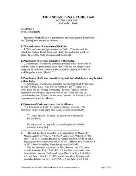
indian penal code 1860 drafted by
indian penal code 1860 drafted by. There are some references to indian penal code 1860 drafted by in this article. If you are looking for indian penal code 1860 drafted by you've came to the right place. We have posts about indian penal code 1860 drafted by. You can check it out below.
Showing posts matching the search for indian penal code 1860 drafted byBlog Archive
-
▼
2023
(313)
-
▼
May
(59)
- Mlb Opening Day Quiz
- What Is Conviction Law
- What Is Conviction Rate
- Emancipation Day Observed And The National Convers...
- What Is An Indictment Warrant
- East Nashville Shooting Last Night
- Holy Saturday And The Easter Vigil: What To Expect...
- The History And Impact Of Emancipation Day In DC
- Nashville Airport Shooting Today
- Celebrating The Boston Marathon At Home: Ideas For...
- Nashville Police Shooting Dollar General
- Mlb Opening Day No Hitter
- What Is Indictment Uk
- Nashville Shooting Mark Capps
- Skeet Shooting In Nashville Tn
- What Is Pre Indictment Hearing
- Mlb Opening Day Games On Tv
- Celebrating Orthodox Holy Saturday At Home: Ideas ...
- Mlb Opening Day On Espn
- What Is Investigation Teaching Method
- Mlb Opening Day 2023 Games
- Mlb Opening Day Starters 2023
- What Is Your Conviction About Distance Learning
- Nashville Police Shooting Woman
- Mlb Opening Day 2023 Mets
- Mlb Opening Day Marketing
- The Intersection Of Emancipation Day Observed And ...
- What Is Conviction Rate
- Shooting Range Near Me Nashville Tn
- Theology And Spirituality Of Father Damien: His Fa...
- The Future Of State Holidays: Trends And Changes T...
- Mlb Opening Day Roster Deadline
- Mlb Opening Day En Vivo
- What Is An Indictment Quizlet
- What Is Investigation Examination
- Emancipation Day And Reparations: Addressing The L...
- What Is Investigation Geography
- Nashville Gun Club Skeet Shooting
- Easter Monday Traditions Around The World: Parades
- What Is Indictment Noun
- Opening Day Mlb Lineups
- 2023 Mlb Opening Day
- Mlb Opening Day Games On Tv
- Downtown Nashville Shooting Last Night
- When Mlb Opening Day 2023
- What Is Investigation Under Crpc
- Mlb Opening Day Giants
- What Is Investigation Question
- Mlb Opening Day Date 2023
- Mlb Opening Day 2023 Guardians
- Mlb Opening Day Pirates
- Mlb Opening Day Quiz
- The Boston Marathon: History
- Mlb Opening Day 2023 Video
- The History And Significance Of Orthodox Holy Satu...
- The History And Significance Of Orthodox Holy Satu...
- Mlb Start Date 2023
- Opening Day Mlb Rosters 2023
- Alvin Bragg Office Address
-
▼
May
(59)
Total Pageviews
Die besten Ohrhörer mit günstigen Preis
Search This Blog
Powered by Blogger.
